Skip to main content
Login
Sign up
My shopping cart
Toggle navigation
Home
About us
Contact Us
Distributors
Products
NMR SOLVENTS & TUBES
BIOMOLECULAR NMR
BIOMOLECULAR MS
Clinical MS
METABOLIC
IN VIVO SUBSTRATES
Synthetic Intermediates
Deuterated Reagents for Pharmaceuticals
Metals
Gases
Custom synthesis
Applications
Celebrate Quantum Science with IYQ 2025!
NMR Solvents & Tubes
NMR Solvents
NMR Tubes
Extreme Series
Secure Series
Sample Vault
Select Series
Standard Series
Proteomics
Chemical Labeling
Protein Expression
Peptide Synthesis
Chemical Tagging
Enzymatic Labeling
QC & Quantitation Kits
PeptiQuant™ MRM Assay Kits
Metabolic Labelling
SILAC
SILAM
Biomolecular NMR
Methyl and Amino Acid-Type Labeling
Sparse Labeling for Protein NMR
Hyperpolarization
In Vivo Protein Expression
Membrane Proteins
MRI/MRS
Trace Element Analysis
Clinical Mass Spectrometry
Metabolomics
Metabolomics Mixtures and Kits
Amino Acid Mixes
Bile Acid Mixes
Credentialed E. coli Cell Extract Kits
Yeast Extract Kits
Organic Acid Mixtures
QC Mixes and Kits
TCA Cycle Mixes
Metabolomics Standards
Metabolic Research
Metabolism
Deuterated Metabolic Imaging (DMI)
Hyperpolarization
Metabolic Flux
MRI/MRS
MS/MS Standards
Glycomics
Glycan Standards
INLIGHT® Kit
MS/MS Screening
Lipidomics
Lipidomics Mixtures and Kits
Lipidomics Standards
cGMP SUBSTRATES
13C Breath Test Substrates
GASES
Gas Mixtures
Deuterated Reagents for Pharmaceuticals
Deuterated Reagents for Optoelectronics
Custom Synthesis
Resource library
D2O Recovery
COA & SDS
Home
Metabolites and Substrates
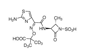
AZTREONAM (D6, 98%) 95% CHEMICAL PURITY
G
Chemical purity
95%
Reference
DLM-10766-PK
Unlabeled CAS Number
78110-38-0
Labeled CAS Number
1127452-94-1
Linear formula
C13H11D6N5O8S2
MW
441,47
Request For Quote
QTY :
Add to my cart